
力学所在气固表面催化燃烧反应的载体效应与原位谱学表征研究中取得进展
CO作为大气主要污染物之一,来源广泛,如何有效限制并消除CO,已逐渐成为研究的重点与热点问题。钢铁企业作为高能耗、高污染企业,是国家节能减排工作开展的重点对象,采用“催化燃烧技术”来替代“传统直燃放散技术”,有利于实现放散煤气从所需燃气引燃到自身能量回收利用的双向节能,对于钢铁企业CO节能减排技术的研发及工程应用具有重要意义,有利于促进碳达峰与企业的转型升级。
明确催化剂载体效应对催化活性的影响规律及催化剂设计具有指导意义,目前针对不同催化剂在高浓度CO催化燃烧中活性、耐久性及失活规律的研究较少。同时解析CO自持催化燃烧过程中的中间过渡态物种演化规律是揭示微观反应机理的关键步骤。由于传统原位池固定式安装在原位红外光谱仪上,通常是以反应气吸附-惰性气体吹扫-惰性气体气氛升温的方式来静态测试中间物种的形成,难以实时在线检测连续流动态反应条件下的中间过渡态物种的演化规律,导致对真实连续流反应动态升温过程中的反应路径演变机制尚不明晰。
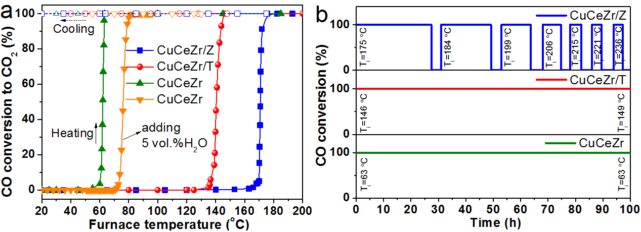
针对上述问题,力学所高效洁净燃烧研究团队与德国弗劳恩霍夫材料回收和资源战略研究所IWKS、英国利物浦大学合作在CO催化燃烧反应的载体效应与原位谱学表征研究中取得进展。结果表明催化剂活性大小顺序为CuCeZr > CuCeZr/T > CuCeZr/Z(图1a),CuCeZr催化剂具有最高活性的原因在于较高Cu与Ce物种含量使得Cu-Ce相界面距离更短,数量更多。100 h耐久性评价结果发现(图1),CuCeZr与CuCeZr/T均具有长时间的耐久性与活性,而CuCeZr/Z催化剂在历经7次循环后逐渐失活,分析发现CuCeZr/Z的BrØnsted酸位产生明显积碳现象是其失活的主要原因。此外确定了不同催化剂上的贫燃极限当量比(Φ),在200 mL/min时,3种催化剂上均出现Φ值最低点,说明在同一当量比下,流量太小会造成富氧少燃料不可燃,流量太大又会吹熄燃烧,都需提高Φ以保证释放的热量维持自持燃烧,这为放散煤气浓度及流量波动条件下的自持燃烧调控提供了有力的数据支撑。同时采用红外热像仪(FLIR)在线测量了在CO自持燃烧后的催化剂床层二维温度场分布(图2)。在反应机理研究方面,研究团队采用具有磁传动原位池的原位红外分析仪,通过快速抽动样品卡槽,在每个温度点均在线扣除气相背景峰,巧妙解决了在反应气连续流条件下CO气相峰与中间物种吸附峰的重叠问题,实现了动态升温反应条件下,反应中间物种的在线准确测量,进而精准描述了CO催化燃烧反应路径(图3),为气固表面催化反应机理研究提供了一种原位谱学测试研究方法。
该研究成果以“Catalytic ignition of CO over CuCeZr based catalysts: New insights into the support effects and reaction pathways”为题发表在“Applied Catalysis B: Environmental”(2023, 327: 122435)上,中科院力学所宾峰副研究员、德国IWKS陈国星博士与英国利物浦大学屠昕教授为共同通讯作者,康润宁博士生为第一作者,该工作获得了中国科学院A类战略性先导科技专项与国家自然科学基金项目的支持。
附件下载: